Producir XXI, diciembre 2025
La ganadería de la Pampa Deprimida mejora su eficiencia y reduce emisiones
Fuente: Visión Rural
Un trabajo de INTA y universidades, junto a productores, evaluó 37 establecimientos ganaderos de la Pampa Deprimida. Los resultados muestran que la intensificación ganadera aplicando buenas prácticas de manejo permite aumentar la producción de carne y, al mismo tiempo, reducir la huella de carbono.
El desafío de producir más y mejor
En la Pampa Deprimida bonaerense, investigadores y extensionistas de las EEA Balcarce y EEA Cuenca del Salado del INTA, de la Facultad de Ciencias Exactas y Naturales de la UNMdP y de la Facultad de Agronomía de la UNCPBA, caracterizaron 37 establecimientos (22 de cría, 4 de cría–recría y 11 de ciclo completo), con una superficie promedio de 763 hectáreas y una carga promedio de 0,74 unidades ganaderas por hectárea. Durante el desarrollo del trabajo se incorporaron dos innovaciones destacadas: un modelo para la estimación de la huella de carbono y una plataforma participativa de trabajo en red.
Indicadores productivos: luces y sombras
En los sistemas de cría evaluados, el destete promedio fue del 80,7 %, con un peso medio al destete de 182 kg y una producción de carne de 99 kg por hectárea por año. Estos valores representan un incremento del 7% en la tasa de destete, 7 kg más por animal y 29 kg adicionales de carne por hectárea en comparación con los promedios regionales. Entre los factores determinantes para este aumento en la producción se destacan la mejora en la condición corporal al parto, el control de enfermedades reproductivas, la duración del período de servicio y el valor genético de los reproductores.
Por otro lado, los establecimientos de ciclo completo analizados alcanzaron una producción promedio de 152 kg de carne por hectárea por año, con pesos de faena de 362 kg para vaquillonas y 424 kg para novillos. Estos últimos lograron una ganancia diaria de peso de 0,77 kg por animal durante todo el ciclo de recría y engorde, siendo alimentados principalmente a corral en la etapa final (10 establecimientos finalizaron a corral y 1 fue completamente pastoril). Las ganancias de peso durante la recría y el aumento del peso de faena se identifican como factores clave para mejorar la productividad de los sistemas de ciclo completo en la región.
Los indicadores revelan una variabilidad productiva y ambiental importante entre establecimientos, lo que abre un margen de mejora mediante ajustes en manejo y adopción tecnológica. En varios partidos de la región, los cálculos de INTA estiman que, con mejoras en índices reproductivos y en las etapas de recría y engorde, se podría incrementar la producción hasta 50 %.
Huella de carbono: eficiencia como aliada
El estudio estimó la huella de carbono de los establecimientos ganaderos utilizando una herramienta desarrollada localmente en el marco de un convenio entre el INTA y WWF, calibrada con datos regionales. Esta herramienta se encuentra alineada con las Guías del IPCC 2019 y ha sido validada a nivel de establecimiento.
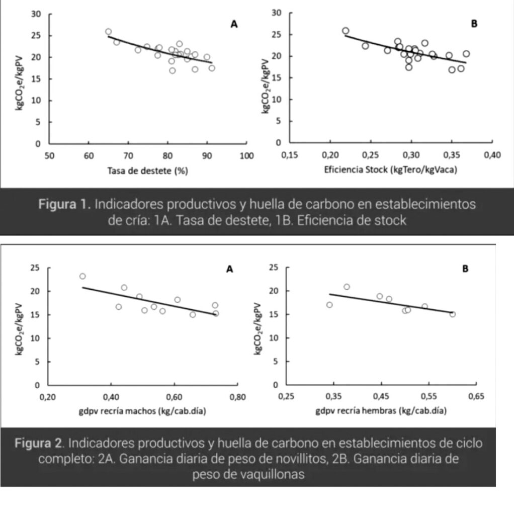
Los resultados en establecimientos de cría mostraron que la huella promedio fue 20,9 kg de CO₂ equivalente por kilo de peso vivo producido, con una variabilidad significativa según el manejo reproductivo, la tasa y el peso de los destetes, y que a medida que la producción de carne fue mayor, la huella de carbono disminuyó (Figura 1).
En los sistemas de ciclo completo la huella de carbono fue 16,1 kg de CO₂ equivalente por kilo de peso vivo producido y varió según el manejo productivo (duración del ciclo y calidad del forraje y suplementos utilizados, entre otros factores). Se observó que cuando las ganancias diarias de peso superaron los 600 gramos por animal, la huella se redujo a 15 kg CO₂e/kg de peso vivo (Figura 2). En contraste, con ganancias diarias inferiores a 450 gramos, la huella superó los 20 kg CO₂e/kg.
En los establecimientos analizados, más del 80% de las emisiones totales se originaron por los animales, principalmente por metano entérico (70% o más). Este dato, que surgió de la desagregación de las distintas fuentes de emisión generadas en todo el proceso productivo tranqueras adentro, confirma que mejorar la eficiencia de la conversión del forraje en carne es la clave no solo para elevar la productividad, sino también para reducir el impacto ambiental de la actividad.
Como explicó el extensionista de la AER Olavarría del INTA, Paulo Recavarren: “los resultados confirman que los establecimientos que mejoran la tasa y el peso al destete, las ganancias diarias de peso vivo en la recría y optimizan la conversión en la etapa de terminación, no solo obtienen mejores márgenes económicos, sino que también reducen proporcionalmente sus emisiones por kilo de carne producido”.
Innovación institucional y trabajo conjunto
Un aporte central del proyecto fue la creación de una plataforma participativa regional, que reunió a productores, asesores, técnicos de INTA, de la UNCPBA y de la UNMdP y de otras instituciones. Este espacio de diálogo y co-diseño permitió generar confianza, intercambiar saberes y definir estrategias adaptadas a cada realidad productiva. El trabajo en terreno (visitas, talleres y retroalimentación personalizada) facilitó la identificación de “puntos críticos” tranqueras adentro y la construcción social de estrategias de mejora adaptadas a cada sistema productivo.
Este enfoque permitió a los productores contar con información propia y confiable, base para tomar mejores decisiones tranqueras adentro.
Mirada hacia el futuro
El trabajo confirma que la ganadería de la Pampa Deprimida enfrenta un doble desafío: disminuir la brecha productiva y reducir su huella ambiental. Ambos objetivos no se contraponen, sino que se potencian: la intensificación sostenible permite producir más carne con menor impacto ambiental.
La incorporación de indicadores ambientales en el análisis de los establecimientos, junto con una mirada sistémica sobre rodeos, forrajes y recursos, resulta fundamental. Al mismo tiempo, el fortalecimiento de la articulación institucional y la participación de los productores y asesores ganaderos aseguran la apropiación de tecnologías y su sostenibilidad en el tiempo.
A escala global, sin embargo, el panorama es distinto: cerca del 75% de las emisiones de gases de efecto invernadero provienen de los combustibles fósiles. En ese contexto, la ganadería representa una fracción menor del total, pero con un gran potencial de diferenciación y certificación como actividad que puede contribuir a mitigar emisiones y secuestrar carbono a través de prácticas de manejo e incorporación de tecnología adaptadas a cada establecimiento.
El mensaje que deja el estudio es contundente: la intensificación sostenible es una estrategia probada a campo, con resultados concretos en productividad y ambiente. Un horizonte posible y necesario para consolidar una ganadería competitiva y sustentable en la región más emblemática de la carne argentina.
